□黄劲

宋珏 《松屋读书图》


宋珏 《山楼对雨图》(局部)

宋珏《乔松贞石》
宋珏为曾鲸绢本设色作品《胡尔慥小像》题跋
宋珏 《听松看画七绝诗轴》
《历代书画录辑刊》第五册《梦园书画录》卷十四“明林茂之宋比玉书画合璧卷”
明代诗人宋珏擅长书画、篆刻艺术,山水画学米氏、黄公望、吴镇等人,尤其善于画松。宋珏《娄塘古松》:“虞山七桧貌已奇,娄塘古松奇过之。干作赤铜叶翡翠,倒庇十亩无枯枝。望似吾家老榕树,枝柯轮囷根盘踞。其顶可坐十余人,尊者二九嬉游处。所以此松名罗汉,画之不能且饱看。旁有灵泉醴不如,土人埋没真堪叹。王氏当年家未起,手植此枝盆盎裹。风霜久历岁月深,千怪百怪遂如此。唐君携我游其下,云欲结庵力未暇。我视唐君骨肉奇,须眉亦是一尊者。速显神通运木石,引致浓阴入丈室。我若重游襥被来,与君看树还朝夕。”画家通过描绘嘉定北部娄塘的参天古松,展现古镇壤址高下错落、风阜郁盘及河道成网的清新明畅之美。
明万历二十八年(1600)六月,宋珏作《松石图》,纸本上题“松石竟秀古且新,入我画图亦逼真。庚子长夏,莆田宋珏”,钤“宋珏”长方印。画面用新颖而拟人的白描手法,生动地状写即目所见,直抒作者对山石松木真切的审美感受。明万历四十四年(1616),宋珏完成了传世之作《松阴晓霭图》。明万历四十五年(1617),四十二岁的宋珏作《松屋读书图》。作品里有两棵古松和一座茅草屋,氛围幽静清寂,意境高雅而脱俗。屋内陈设简单,仅有琴与书,不禁令人想起唐代刘禹锡“可以调素琴,阅金经”的陋室,表达了文人对心灵自在和品德修行的追求。宋珏描绘古松、茅屋时,用笔苍老秀逸,不拘于法,展现出了独特的韵味和力度。
1608年,宋珏作《山楼对雨图》,并题:“山雨楼中试墨时,霜豪雪茧对君披;别来对雨遥相忆,添写松间雨后枝。戊申冬孟八日有雨意,午后忽晴予坐长蘅小楼中,出古子石研试叶道人墨,逐拈高丽纸相对作画,是已渐暝,而予画末竟,因携归清凉庵补之。是日忽雨,人迹不到,补意。因系以诗,长蘅见之,为之莞尔否?宋珏识事十三日也。”明万历四十五年(1617)八月,宋珏重访李流芳山雨楼,诗题《山楼对雨图》,云:“别君数笔出云峰,来看当年雨里松。十载再来明又别,秋山知隔几千重。丁巳秋八月十一日,重过山雨楼,明日之青谿矣,用长蘅旧韵戏题。珏。”该作录于《中国名画宝鉴》,水墨纸本,北京故宫博物院藏。图中除作者相隔十年间的两次题诗、落款、钤印外,还钤有清代皇家御览印章多枚。立轴以传统画法写雨后山水即景:远山起伏,流泉直泻,近景小径蜿延,松林遍布。从画面上,可以领略到作者状物写意的深厚功底,以及他观察大自然的精微。这在小笔写就的松林中体现得尤为充分:勾线圆转流畅,顿挫自如;枝干遒劲,盘曲多姿;松针挺拔,穿插分明。
宋拓耕《从祖比玉公画松歌》云:“上枝蟠空下偃石,分张鳞鬣双松立。长风忽来素练翻,疑是画龙欲破壁。公之八分世所珍,李阳冰后称一人。瘦蛟倔强趁笔势,写上孥云森有神。金陵六朝树亦有,隐工涛声欲醒酒。想见云烟疾一挥,钟潭对之尽俯首。泰山毫芒谁所造?吾家墨妙今得之。通灵莫使赫蹄化,留与古香伴荔支。”赞歌以简洁的笔墨生动地描述松林的迷人景观,融写景、记事和议论于一体,尽显“写松树尤秀绝”之妙。画家用长锋硬笔,每笔皆中锋见力,用铁线篆法,作下垂的样子,松针密密重重,繁而不乱,笔笔都有交代,细观之,似微风吹动,松针摇曳不动,动静相生,达到了情景交融、文中有人。
明天启四年(1624)十一月,林古度和宋珏合作《书画合壁卷》。林茂之作小青绿山水,长一丈有余,宋珏作行草五古八首,长九尺余,堪称皇皇巨制,可惜作品已佚。1999年,上海书画出版社的《中国书画全书》本中清代方濬颐《梦园书画录》卷十四《林茂之宋比玉书画合壁卷》记载:“纸本,今尺高九寸,长一丈一尺三寸五分。小青绿山水。卷首石壁下树木五七株,傍水古松五本,一亭居中,长堤绵亘,垂柳数处;堤半平桥旁通楼,观亭树宛在水中。堤尽处飞崖陡起,樵子荷担。崖下山凹编篱,内有桑林瓦屋五间,前房廊厅事俱备,一叟中坐,奇石出檐端,古树荫密,又有对坐讲学,席地讲道者。前山比连,石洞嵌空,山崖曲屈,高处竹篱横亘,群鹿游逐。前有林亭,下有水阁,循山层折,临水平台,开闳高敞。阁中偶语,独坐者共六人。孤松挺生,他树丛杂,山断处一片空明,波恬水净。傍山水亭有客对坐,隔水山阁村舍差参。山后一峰矗立,下有密箐中藏山斋,一亭傍松。对岸古寺,疎松四绕。入后雨山接抱中露城郭,远水前绕孤亭下翼。对山悬崖奇峭,绝壁下有人对语。山后亦有竹箐茅亭,卷尾一峰层折,趣味无尽。题首篆书‘巴和二字。款署:‘天启甲子,珏识’。下钤‘宋穀之印’。前钤‘荔支仙人‘莆阳宋氏古香斋书画印’。卷首钤‘明正’二字圆印,‘绿谿山荘收藏之印’‘杏花春雨江南’方印。卷尾钤‘臣本布衣’‘古阳道人’二印。天启甲子仲冬月,茂之林古度。钤‘古度印。”
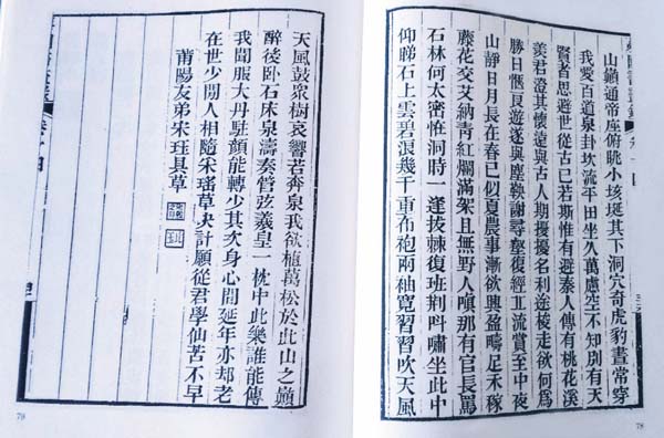
据载,宋珏《题林古度山水卷》,此作由清末张琴先生家藏,纸本,高八寸余,宽九尺三寸,五十二行,款二行。宋珏以行草作五言八首的文字,用笔劲厚近蔡忠惠。内容为:“春山已如笑,春服亦既宜。郭外逢野人,坐对自无机。梅放桃未花,胜游已不迟。因悔汨红尘,白日怄中移。入山未遑住,四顾事幽讨。策杖陟山颠,风急云如扫。列岫如列仙,丹砂杂朱草。何年九转成,龟鹤年长保。山巅通帝座,俯眺小垓埏。其下洞穴奇,虎豹尽常穿。我爱百道泉,卦坎流平田。坐久万虑空,不知别有天。贤者思避世,从古已若斯。惟有避秦人,传有桃花溪。羡君澄其怀,远与古人期。扰扰名利途,梭走欲何为。胜日惬良游,遂与尘鞅谢。寻壑复经丘,流赏至中夜。山静日月长,在春已似夏。农事渐欲兴,盈畴足禾稼。藤花交艾纳,青红烂满架。且无野人嗔,那有官长骂。石林何太密,恠洞时一逢。拔棘复班荆,呌啸坐此中。仰睇石上云,碧浪几千重。布袍两袖宽,习习吹天风。天风鼓众树,哀响若奔泉。我欲植万松,于此山之巅。醉后卧石床,泉涛奏管弦。羲皇一枕中,此乐谁能传。我闻服大丹,驻颜能转少。其次身心间,延年亦却老。在世少闲人,相随采瑶草。决计愿从君,学仙苦不早。莆阳友弟宋珏具草。”
卷尾钤“宋瑴之印”“比玉”二印。该诗题简意深、景中寓情和文里见人。
明天启七年(1627),莆籍画家曾鲸为李日华之子李肇亨绘《李醉鸥小像》(上海博物馆藏)、亦作《胡尔糙小像》(浙江省德清县博物馆藏),绢本设色,宋珏在该画上题诗:“把其道貌,其古如松。聆其德音,其清如淙。岳神所降,天月所钟。处处甘棠,在在华封。我庇宇下,十载朝宗。不图今日,得御犹龙。鞭捶囊鞬,誓顾相从。部下诸生宋珏敬赞。”钤有“宋珏之印”朱文印,“宋氏比玉”白文印。跋文以松喻人,画面极具艺术感染力。
《中国书画家印鉴款识》载,明崇祯二年(1629),五十四岁的宋珏仿马和之松石图卷。《图绘宝鉴》卷四载:“马和之,钱塘人,绍兴中登第,善画人物佛像山水,傚吴装,笔法飘逸务去华藻,自成一家。”南京博物院藏宋珏《听松看画七绝诗轴》,纸本隶书,纵122.5厘米,横30.7厘米。书法释文:听松看画绕虚廊,风拂金炉待赐香。丞相未来春雪密,暂偷闲卧老僧房。署款:“宋珏”。钤“宋珏之印”白文印、“比玉父”白文印。
宋珏画松,传达出一种对质朴、简单生活的向往,以及对精神世界的追求和珍视。